Sorry to hit your email inbox with another Ground Truths newsletter so quickly, but I’m committed to writing about major biomedical advances—and we’ve got another one this week!
This is about a seminal paper published in Nature today that provides compelling data for how mRNA vaccines can synergize with immunotherapy to improve survival outcomes in patients with advanced Stage IV cancers. It stems from an earlier observation by these researchers that patients undergoing immune checkpoint inhibitor therapy for cancer seemed to have better results when they had recently received a Covid mRNA vaccine. Their previous paper in July in Nature Biomedical Engineering invoked the role of Type 1 interferons for sensitizing immunotherapy in animal experiments.
In recent days, there’s been some media coverage on the presentation at the European Society of Medical Oncology meeting in Berlin but that fell far short compared with what the publication provides. In this Ground Truths edition I’ll get into the 3 major parts: (1) a thorough dissection of the mechanism, (2) the striking effects in clinical cohorts, and (3) the important implications for the future of cancer therapy.
The Mechanism of Covid mRNA Vaccines in Cancer
This summary was pieced together from extensive work in preclinical models, prospective research participants, and patient outcomes from retrospective cohorts.
It has nothing to do with SARS-CoV-2 spike or Covid per se; when that spike protein was removed (and replaced by a cytomegalovirus antigen pp65), the same benefit was seen. It’s a function of the mRNA/lipid nanoparticle (RNA-LNPs) package that unleashes a big Type 1 Interferon response (setting off the alarm). Further, when flu and pneumonia vaccines were tested without the RNA-LNPs, there was no benefit. The Moderna vaccine, which contains more RNA, had more of an in vitro effect than the Pfizer/BioNTech vaccine, reinforcing the impact of the RNA component, but without differences in clinical outcomes. When Type 1 interferon was blocked, there was no benefit. The magnitude of the acute bump in Type 1 interferon, as determined from blood samples of healthy participants who received Covid vaccines, was 280-fold!
“Cold” tumors are invisible, evading the body’s immune system, without infiltration of immune cells, and much less likely to respond to immunotherapy. As seen below (from the publication), the innate immune cells (such as plasmacytoid dendritic, pDC, in blue) are activated, and that primes T cells (green).
The T cells can now get into the tumor, making it “hot,” and the tumor cells respond by increasing their shield, which is PD-L1 (programmed cell death ligand-1) intended to suppress T cell activity. That’s perfect—all teed up now— for antibodies to PD1/PD-L1, the immune checkpoint inhibition, to take down the shield, and sets up the T cells to kill the tumor cells. Biopsy samples confirmed marked increase in PD-L1 expression after mRNA vaccine, not seen without this trigger.
The Clinical Benefit of mRNA Vaccines With Immune Checkpoint Inhibitors
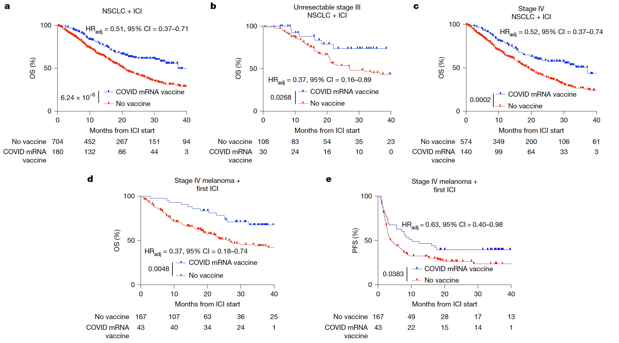
Using a time window cutoff of 100 days from a Covid shot to immune checkpoint inhibitor therapy, as compared with unvaccinated individuals or treatment outside this time window, there was a striking benefit for 2 types of advanced, metastatic cancer: non-small cell lung cancer (NSCLC) and melanoma. The graphs below show marked improvement in 3-year survival with Covid vaccines, ranging from 40-60%! For example, for Stage IV NSCLC at top right corner there was a doubling of survival at 3-years. These findings were corroborated by very poor response to ICI for patients with NSCLC tumors pre-pandemic, along with differences in progression-free survival for Covid vaccine vs unvaccinated.
When the time window was altered from 100 days to 50 days within receipt of a Covid vaccine, the results for ICI benefit did not differ for clinical outcomes. In context, such 3-year survival improvements, with RNA-LNP plus ICI, in these 2 types of advanced cancers were not at all expected, far exceeding expectations. Could the dramatic survival benefit for these widely metastatic cancers be exaggerated due to the retrospective nature of the data and analysis, and the arbitrary time windows of 50 to 100 days? That can only be resolved by additional, dedicated prospective studies..
Implications
The unanticipated, added benefit of vaccines beyond their intended effect is becoming a theme, as we recently saw with herpes zoster vaccines vs shingles. As I previously reviewed, 3 natural experiments consistently finding a 20-25% reduction of dementia and Alzheimer’s disease. That magnitude of associated protection will soon be further confirmed with 2 additional natural experiments. If the shingles vaccine were a drug to prevent dementia, it would be considered a blockbuster. But in contrast to mRNA vaccines in the new report, we don’t know the mechanism. The speculation, which is certainly reasonable, is that the Shingle vaccines rev up the immune system in a favorable way to suppress brain inflammation, but details and proof for that are lacking.
The current paper established the mRNA-nanoparticle mechanism through multiple experiments, dissecting what could be considered every angle: the principal role and huge spike of Type 1 interferons, the lack of effect by vaccines without mRNA-nanoparticles, the heightened expression of PD-L1 confirmed in tissue biopsy induced by RNA-LNPs, all setting up immune checkpoint therapy to come in for the kill of tumor cells. This was the most impressive and compelling part of the publication.. Turning cold tumors into hot ones.
We will need to see the large clinical outcome benefits independently replicated and extend to other advanced, “cold” tumors. If that indeed holds up, then we have a whole new alternative to personalized neoantigen vaccines. Why is that so important?
There have been remarkably successful in preliminary small studies of patients with advanced pancreatic cancer, renal cell carcinoma, melanoma and others as recently reviewed here. But unlike a “universal” mRNA-lipid nanoparticle vaccine that is off-the-shelf, making a personalized neoantigen vaccine is laborious, expensive, and time consuming. As shown below, it requires sequencing tumor cells to define the specific proteins on the cell surface (neoantigens) that will be put into the individualized mRNA-nanoparticle vaccine to rev up the patient’s immune response, in combination with immune checkpoint inhibitors.
It certainly is possible or even likely that the personalized neoantigen vaccines, as compared with generic mRNA-lipid nanoparticles, will be more potent in stimulating the tumor-specific immune response. But the effect seen in the report raises the question as to how much difference will be seen, and the potential of using the universal mRNA as a quick primer of the immune response while the neoantigen one is getting made. There is also hope for off-the-shelf neoantigen vaccines in the future, no less the ability to use these vaccines in people at high-risk for cancer for prevention.
To emphasize, the mRNA-nanoparticle platform is not conceived as a stand alone treatment for cancer. It can be seen as a path to transforming cold, immune evasive tumors into hot ones, and setting up ICI drugs or other interventions to strengthen the immune response and achieve cancer cell destruction. The array of those interventions keeps growing, including engineered T cells (or engineering other cells such as natural killer), tumor infiltrating lymphocytes (TILs), antibody-drug conjugates, and more.
In closing, the discovery of mRNA-lipid nanoparticle action to help treat refractory cancer can be viewed a major unforeseen step forward. Of course, there is more work to be done, as is always the case. But this finding comes in the wake of drastic cuts by the US Health and Human Services for the study of mRNA vaccines, which were already gathering encouraging data for many other infectious diseases, autoimmune conditions, rare diseases (via genome editing) and cancer. The versatile mRNA-NP platform is one of the most important advances in biomedical history, reinforced by today’s Nature paper. We should be building on its extraordinary life-saving pandemic success, not turning our back on it!
*******************************************
Thanks you for reading and subscribing to Ground Truths.
If you found this interesting PLEASE share it!
That makes the work involved in putting these together especially worthwhile.
All content on Ground Truths—its newsletters, analyses, and podcasts, are free, open-access. No ads.
Paid subscriptions are voluntary and all proceeds from them go to support Scripps Research. They do allow for posting comments and questions, which I do my best to respond to. Please don’t hesitate to post comments and give me feedback. Let me know topics that you would like to see covered.
Many thanks to those who have contributed—they have greatly helped fund our summer internship programs for the past two years. It enabled us to accept and support 47 summer interns in 2025! We aim to accept even more of the several thousand who will apply for summer 2026.





It is NOT too quick to point this out! I have read celebrations on the internet of the defunding of this astonishing technology, based solely on ignorant, misguided, uninformed, purposeful disinformation. And sadly, it was initiated by the highest ranking, biased, and short-sighted officials responsible for healthcare policy in this country. For heaven's sake, not one, but two Nobel Prizes were awarded for what will turn out to be a lifesaving technology beyond vaccine delivery. Thank you for making this news prominent and accessible!
That anyone could think it is a good idea to slash funding for research like this is beyond comprehension. Yet, here we are. Thank you, as always, for reporting on important advances in science and medicine like this.