There were 2 notable publications today, one on reinfections and the other on Long Covid in a large, matched control cohort. I’ll address each separately and then bring them together.
The Veterans Affairs Reinfection Study
I wrote about this important study when it first came out as a preprint here: the reinfection red flag and little changed in the final paper in Nature Medicine. From over 40,000 reinfections among over 440,000 people who had Covid, and over 5 million controls, the 6-month follow-up demonstrated that reinfections are bad for your health. A 2nd or 3rd infection is associated with worse acute and post-acute (Long Covid) outcomes than not having a reinfection. It is important to acknowledge that while the VA is the US largest health system, it is not representative of American demographics with respect to age, sex, and race.
Key points:
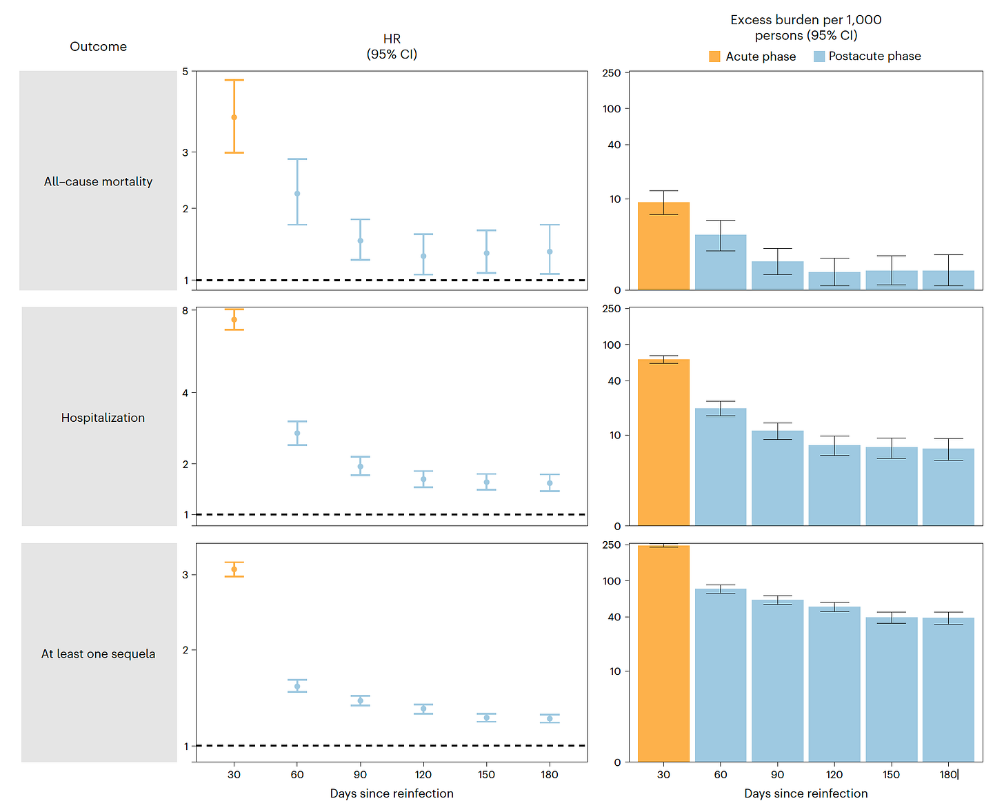
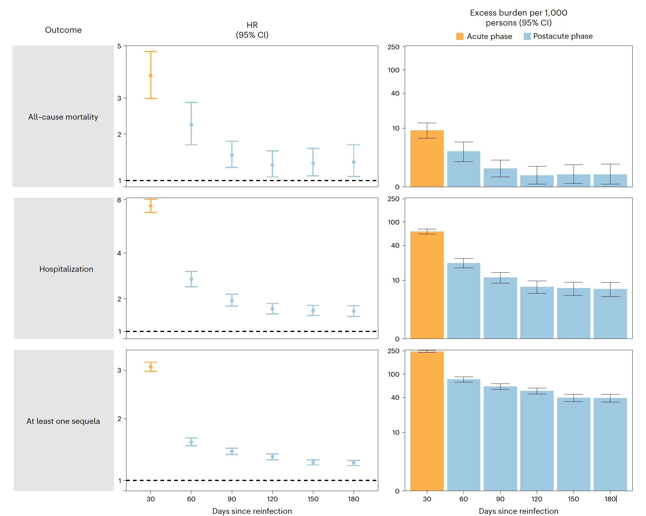
There was a “dose-response” effect for each of the various end-organ effects, as shown for 1 vs. 2 infections, and compared with 3 or more below.
While much of the “hit” of adverse outcomes was in the acute phase, you can see there was persistent significant impact well past the first month for all-cause death, hosptialization, and at least 1 of the sequelae from the top figure. At left is the hazard ratio, and at right is the absolute excess burden per 1,000 persons. In the paper there is a breakdown of this for each of the complications (Figure 1 above) by time that I won’t bother to re-present here.
Vaccination status had no substantive protective impact in people who had reinfections. We’ve known since Omicron appeared in late 2021 that vaccines afford limited protection, both in magnitude and duration, against infections, reinfections and spread. Boosters are essential for durable protection against severe Covid (for 4-6 months), but their impact for reducing infections is not high.
The German Long Covid study
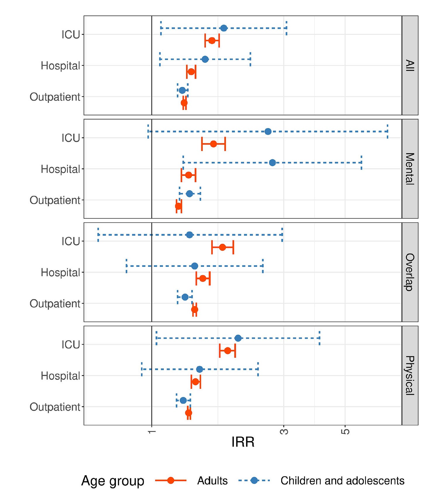
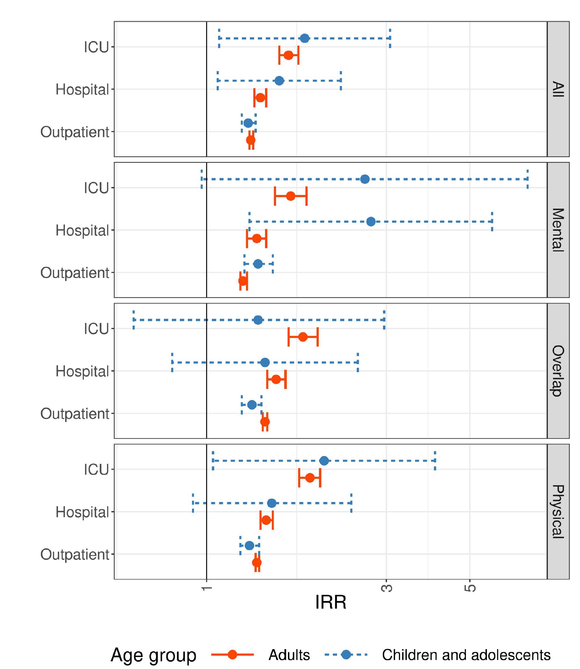
Now the 2nd paper which is a very large cohort of ~157,000 people in Germany including nearly 12,000 children and adolescents all of whom had documented Covid, and with matched controls (1:5 ratio, cases vs matched controls, respectively). The Figure below shows the incidence risk ratio (IRR) for adults and kids for each symptom domain and you can see there is considerable overlap between adults and kids/teens. far more so than many previous reports. Notably, for absolute incidence at right, adults (in red) are more impacted across the board of symptoms/systems. Their conclusion summed it up well: "The results of the present study indicate that post-Covid-19 cannot be dismissed among children and adolescents."
You can also see the overall impact here for physical and mental Long Covid for kids and adults, broken down by whether the individual was in ICU, hospital or outpatient.
Bottom line
You don’t want to get Covid or reinfections. The risk of Long Covid is real, along with potential adverse outcomes across all organ systems, and it is largely unpredictable. There are 3 ways to avoid getting Long Covid: (1) never getting Covid, 100% effective; (2) getting vaccinated and fully boosted, which provides ~30-50% protection against Long Covid in most studies; and (3) Paxlovid, which reduced Long Covid by 26% in another large VA study by these same researchers after breakthrough infections, and I recently reviewed it here.
The problem is that our vaccines have not held up well against the virus as it evolved to Omicron and all of the subvariants for prevention of infections and spread. We’re left with high-quality masks and mitigation measures as our only protection to supplement the modest effect of boosters (for this endpoint). That is why it is absolutely essential to have vaccines that achieve mucosal immunity—nasal vaccines—as I’ve written extensively about to help block infections, reinfections, and transmission. Yet another promising and durable one was out as a preprint today, with over 100 that are now in clinical development and/ortrials with 2 that have had approvals. Both of these studies today emphasize the importance of prevention of (re-)infections, preventing Long Covid, but, unfortunately, we are not aggressively pursuing the most important strategy that would help get us optimal protection. I fervently hope that will change—it’s in our reach. Even with the optimism for the near term that I’ve written about, this virus will be with us for the long haul and we need to pull out all the stops to prevent Long Covid and its sequelae.
Thanks for reading. Get these newsletters in your email by subscribing. And if twitter goes down, that’s a sure way for us to stay connected.





